Gate voltage and magnetic fields reveal complex spin-driven topological phases in MnBi2Te4, offering new insights into quantum anomalous Hall physics.
Introduction
Topological quantum materials have opened new frontiers in condensed matter physics by enabling dissipationless edge transport and exotic quantum phases. Among them, magnetic topological insulators are particularly intriguing, as their electronic topology is intimately coupled to magnetic order. As the first intrinsic antiferromagnetic topological insulator, MnBi2Te4 has attracted extensive attention in recent years. This interplay between topology and magnetism provides a unique platform for controlling quantum states using external parameters, including magnetic fields, electric gating, and temperature.
Although the quantum anomalous Hall (QAH) effect has been realized in thin MnBi2Te4 devices, the microscopic mechanisms governing its evolution under external conditions—and how competing magnetic interactions shape the phase diagram and topological transport—remain poorly understood. These knowledge gaps continue to limit the broader application of MnBi2Te4-based quantum devices.
Method and Key Results
In this work, the researchers introduce a 3 nm aluminum oxide (AlOx) capping layer during device fabrication. This encapsulation not only physically isolates the topological surface states from contamination during processing, but also significantly enhances the perpendicular magnetic anisotropy at the surface. Enabled by this robust design, high-quality 7-septuple-layer MnBi2Te4 devices exhibiting well-quantized zero-field Hall resistance plateaus are realized, providing an ideal platform for precise transport measurements.

Crystal structure, illustration of device, and quantum anomalous Hall effect in MnBi2Te4. Published at Nature, 641, 70 (2025). Credit: Tsinghua University
Using the optimized device, the team systematically maps out a rich phase diagram under combined electric and magnetic control. The measurements reveal a cascade of quantum phase transitions driven by evolving spin configurations, arising from the competition among interlayer exchange coupling, magnetic anisotropy, and Zeeman energy. These transitions involve multiple magnetic states, including antiferromagnetic (AFM), surface spin-flop (SSF), canted AFM, and ferromagnetic (FM) phases, each of which modifies the band structure—particularly the gap of the topological surface states—and thereby strongly influences quantized edge transport. A one-dimensional antiferromagnetic spin-chain model quantitatively reproduces the experimental results, establishing a clear link between spin configurations and topological transport properties.

(a) Experimental evolution of Hall resistance and longitudinal resistance with magnetic field at various temperatures. (b, c) Colour maps of Hall resistivity and its derivative as functions of magnetic field, revealing rich spin configurations corresponding to the transport data. Published at Nature, 641, 70 (2025). Credit: Tsinghua University
A particularly striking finding is the unconventional response of the QAH effect to in-plane magnetic fields. In contrast to ferromagnetic topological insulators, where in-plane fields typically suppress quantization, the application of an in-plane magnetic field in MnBi2Te4 significantly enhances the coercive field. At the same time, it improves the quantization quality and broadens the QAH plateau, while also increasing the thermal activation gap of the surface states. These counterintuitive yet robust behaviors are well captured by the spin-chain simulations, highlighting the unique spin physics of MnBi2Te4 and demonstrating that Hall transport serves as a highly sensitive electrical probe of complex antiferromagnetic order.

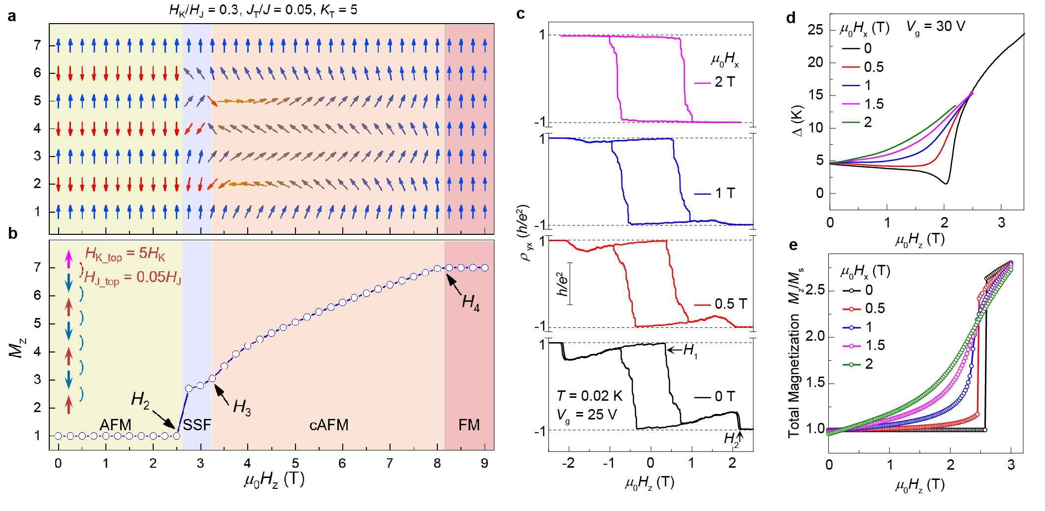
(a, b) Simulation results of spin configurations for the 7-septuple-layer device under different magnetic fields, based on the antiferromagnetic spin-chain model. (c) Enhancement of QAH effect with in-plane magnetic field. (d) Thermal activation gaps obtained from experimental data under different in-plane magnetic fields. (e) Simulation results of the antiferromagnetic spin-chain model under different in-plane magnetic fields, which are qualitatively consistent with the experimental data. Published at Nature, 641, 70 (2025). Credit: Tsinghua University
Impact and Outlook
This study provides a comprehensive and experimentally validated framework for understanding how magnetic interactions govern topological quantum phases in MnBi2Te4, advancing the fundamental understanding of antiferromagnetic topological insulators. By elucidating the relationship between spin configurations and transport behavior, it opens new avenues for controlling topological states through combined electric and magnetic tuning—an essential step toward next-generation low-power electronics and spin-based quantum devices.
Looking ahead, the ability to probe and manipulate complex spin configurations offers exciting opportunities to explore emerging phenomena such as current-driven phase transitions and quantum critical scaling. More broadly, the device fabrication and characterization strategies developed here can be extended to other magnetic topological materials, paving the way for deeper insights into correlated quantum matter and accelerating the translation of topological physics into practical applications.
Read the full paper:
Nature, 641, 70 (2025), DOI: 10.1038/s41586-025-08860-z